北理工在Cell旗下《Trends in Biotechnology》刊发前瞻性评述论文

近日,bv伟德国际1946官网生命学院霍毅欣教授团队在生物技术领域一区顶级期刊《Trends in Biotechnology》(IF=""19.536)发表题为“Constructing"" the transcription regulatory network to optimize resource allocation for robustness synthesis”的前瞻性综述论文,从资源分配这一全新角度审视了微生物细胞工厂鲁棒性优化的前沿进展,提出了构建“生产导向型”细胞工厂的概念。该论文通讯作者是生命学院霍毅欣教授,第一作者为马晓焉副研究员,共同第一作者为博士研究生马炼杰,生命学院分子医学与生物诊疗工信部重点实验室为第一单位。
将微生物改造为细胞工厂进行化学品的发酵生产是实现绿色制造,助力“碳中和”的有效手段。然而,微生物最大化生长的天然使命与高效生产的人工赋能存在根本矛盾,极大阻碍了产量与产率的最大化。论文提出菌株分配资源的“阀门”概念,从转录调控网络的全局水平(Global)、局部水平(Local)、网络边缘(Edge)和底层节点(Bottom nodes)四个层级分别探讨了改造菌株的中心转录调控机器(RNA聚合酶)及其下属模块的工程策略,论述了“改造转录调控网络以重构资源分配模式从而构建生产导向型细胞工厂并全面释放其生产潜能”这一前瞻性策略。
RNAP核心酶类似于一个多通阀,负责控制资源向增长、维护和生产三个模块的分配。为了构建具有鲁棒性的微生物细胞工厂,可以自上而下地对基因调控网络进行改造,从最上层的RNAP核心酶到σ因子和全局转录因子,再到更下层的功能基因,以实现细胞资源的整体重分配和局部精准引导(图1B)。综述通过分析RNAP核心酶结构的最新研究进展(图1C),针对核心酶与σ因子结合的两个主要区域(β'亚基的coiled-coil结构域和β亚基的flap结构域)(图1D),论述了三种调节全酶中的σ因子分布的不同策略,包括改变RNAP核心酶上与σ因子的相互作用的关键区域(图1E)、改变RNAP核心酶与效应因子之间的相互作用(图1F)、控制RNAP 核心酶的合成以实现资源分配在生长(A通路)和生产(B通路)之间的切换(图1G),从而最终可以通过工程式改造RNAP核心酶(斜线填充)实现全局转录调控网络的重编程,加强与生产相关模块(深橙色)的表达(图1A)。

图1 通过工程式改造RNAP核心酶实现全局转录调控网络的重编程
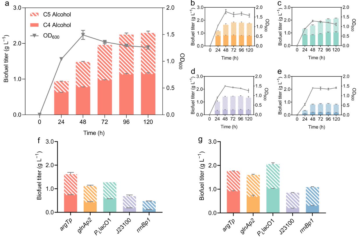
本文第一作者马晓焉副研究员和博士研究生马炼杰聚焦利用转录调控手段提升细胞工厂鲁棒性的研究,取得了一系列的研究进展。在全局调控层面,建立了σ54型RNA聚合酶驱动的合成途径持续表达系统,解决了σ70型全酶在生长稳定期和胁迫条件下的供应不足问题,实现了合成途径的自响应、自激活和自强化,对低pH、高渗透压等胁迫条件表现出较好的抵御能力,成功实现了跨越整个生长期和胁迫条件下的高效生物合成。以σ54依赖型启动子驱动高级醇的生物合成,高级醇产能在进入菌体生长稳定期后持续加强,产量达到常用σ70依赖型启动子的3倍( Biotechnol Biofuels . 2020, 13:29)。
在网络边缘层面,开发了抗胁迫模块与生产模块的“偶联”策略。研究发现大肠杆菌的谷氨酸依赖型抗酸系统即可被σ70型RNA聚合酶转录,又可被稳定期和胁迫条件下大量出现的σ38型RNA聚合酶转录,具有全生长期稳定表达的特点。将该系统的转录调控机制偶联高级醇生产途径,菌株在稳定期的产量提升了25%,酸胁迫下的产量达到现有工程菌株的1.8倍。这一转录偶联策略可有效抵御胁迫条件下胞内s因子的更替,驱动细胞工厂在全生长期的持续合成( Appl Microbiol Biot. 2018, 102:6)。
上述研究创制了生长期独立型驱动元件、资源导流元件、表达强度调控元件、代谢资源阀门等在内的多种代谢流调配元件,将代谢流由生长繁殖重定向至产物合成,为当前工业菌株的鲁棒性改良提供了新工具。

图2 σN驱动子的合成途径对微生物工厂产量的提升
原文链接:https://www.cell.com/trends/biotechnology/fulltext/S0167-7799(21)00263-8#%20
附作者简介:
马晓焉副研究员,博士毕业于中国科学院大学,长期从事高效微生物细胞工厂的构建、氨基酸及其高附加值衍生物的绿色合成等方面的研究。在Nat Commun、Engineering、Biotechnol Biofuels、Appl Microbiol Biot等顶级期刊发表论文20余篇,获批发明专利多项。
霍毅欣教授,bv伟德国际1946官网生命学院长聘教授,博士生导师。主要围绕“大宗化学品的微生物精炼与制造”,以合成生物学手段取得了一系列面向产业化应用的科研成果。代表作发布于Science、Nat Biotechnol、Nat Commun等顶级期刊,近五年共发表高水平论文40余篇,授权近十项国际和国内专利。主持自然科学基金委、国家重点研发计划课题等十余项国家、省部及地区级项目。现任中国生物工程学会理事、工业和信息化部“分子医学与生物诊疗”重点实验室副主任、bv伟德国际1946官网生物技术专业责任教授等职。
